Упр.36.17 ГДЗ Мерзляк 10 класс Базовый уровень (Алгебра)
Решение #1

Рассмотрим вариант решения задания из учебника Мерзляк, Номировский, Полонский 10 класс, Вентана-Граф:
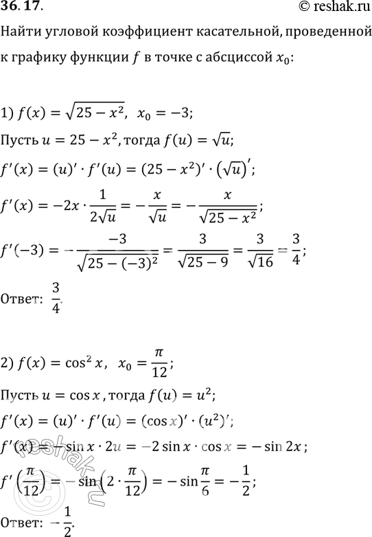
36.17. Найдите угловой коэффициент касательной, проведённой к графику функции f в точке с абсциссой x_0:
1) f(x)=v(25-x^2), x_0=-3; 2) f(x)=cos^2(x), x_0=?/12.
*размещая тексты в комментариях ниже, вы автоматически соглашаетесь с пользовательским соглашением