Упр.36.1 ГДЗ Мордкович Семенов 8 класс (Алгебра)
Решение #1

Рассмотрим вариант решения задания из учебника Мордкович, Семенов, Александрова 8 класс, Бином:
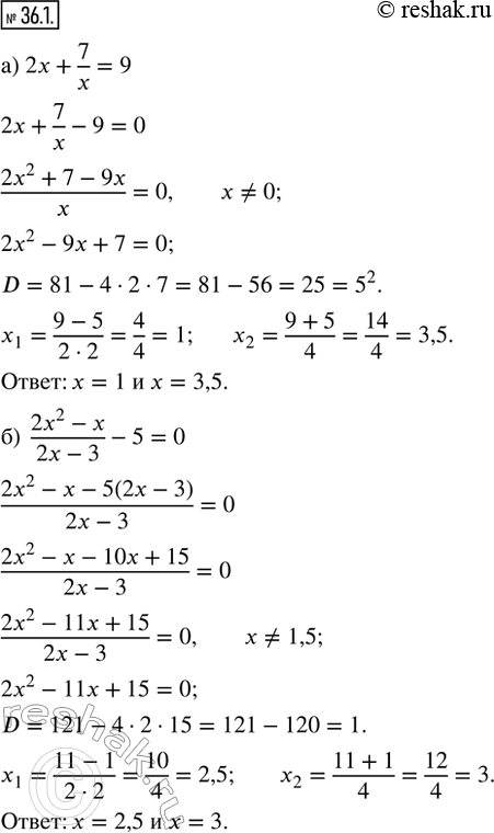
36.1. Решите уравнение:
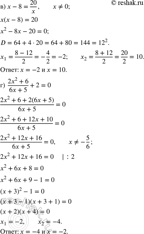
а) 2x + 7/x = 9; в) x - 8 = 20/x;
б) (2x^2 - x)/(2x - 3) - 5 = 0; г) (2x^2 + 6)/(6x + 5) + 2 = 0.
*размещая тексты в комментариях ниже, вы автоматически соглашаетесь с пользовательским соглашением