Упр.357 ГДЗ Колягин Ткачёва 9 класс (Алгебра)
Решение #1

Рассмотрим вариант решения задания из учебника Колягин, Ткачёва, Фёдорова 9 класс, Просвещение:
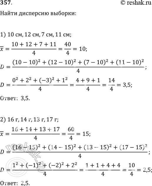
357. Найти дисперсию выборки:
1) 10 см, 12 см, 7 см, 11 см;
3) 11 с, 14 с, 11 с, 12 с, 12 с;
2) 16 г, 14 г, 13 г, 17 г;
4) 5 м, 13 м, 8 м, 12 м, 12 м.
*размещая тексты в комментариях ниже, вы автоматически соглашаетесь с пользовательским соглашением