Упр.357 ГДЗ Колягин Ткачёва 8 класс (Алгебра)
Решение #1

Рассмотрим вариант решения задания из учебника Колягин, Ткачёва, Фёдорова 8 класс, Просвещение:
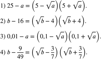
357. Разложить на множители по образцу (a?0, b?0):
1) 25-a;
2) b-16;
3) 0,01-a;
4) b-9/49.
*размещая тексты в комментариях ниже, вы автоматически соглашаетесь с пользовательским соглашением