Упр.355 ГДЗ Колягин Ткачёва 11 класс (Алгебра)
Решение #1
Решение #2

Рассмотрим вариант решения задания из учебника Колягин, Ткачёва, Фёдорова 11 класс, Просвещение:
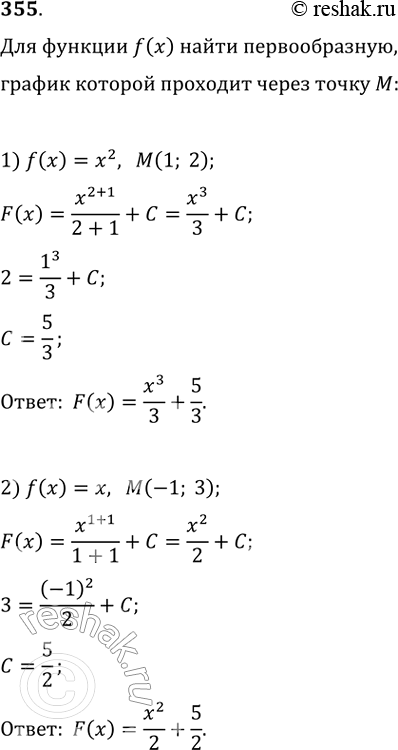
355. Для функции f(x) найти первообразную, график которой проходит через точку М:
1) F(х) = х2, М( 1; 2);
2) f(x) = x, М(-1; 3);
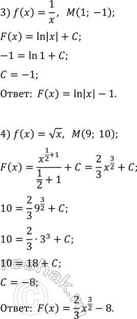
3) f(x) = 1/x, М(1; -1);
4) f(x) = корень x, М(9; 10).
*размещая тексты в комментариях ниже, вы автоматически соглашаетесь с пользовательским соглашением