Упр.354 ГДЗ Никольский Потапов 7 класс (Алгебра)
Решение #1

Рассмотрим вариант решения задания из учебника Никольский, Потапов 7 класс, Просвещение:
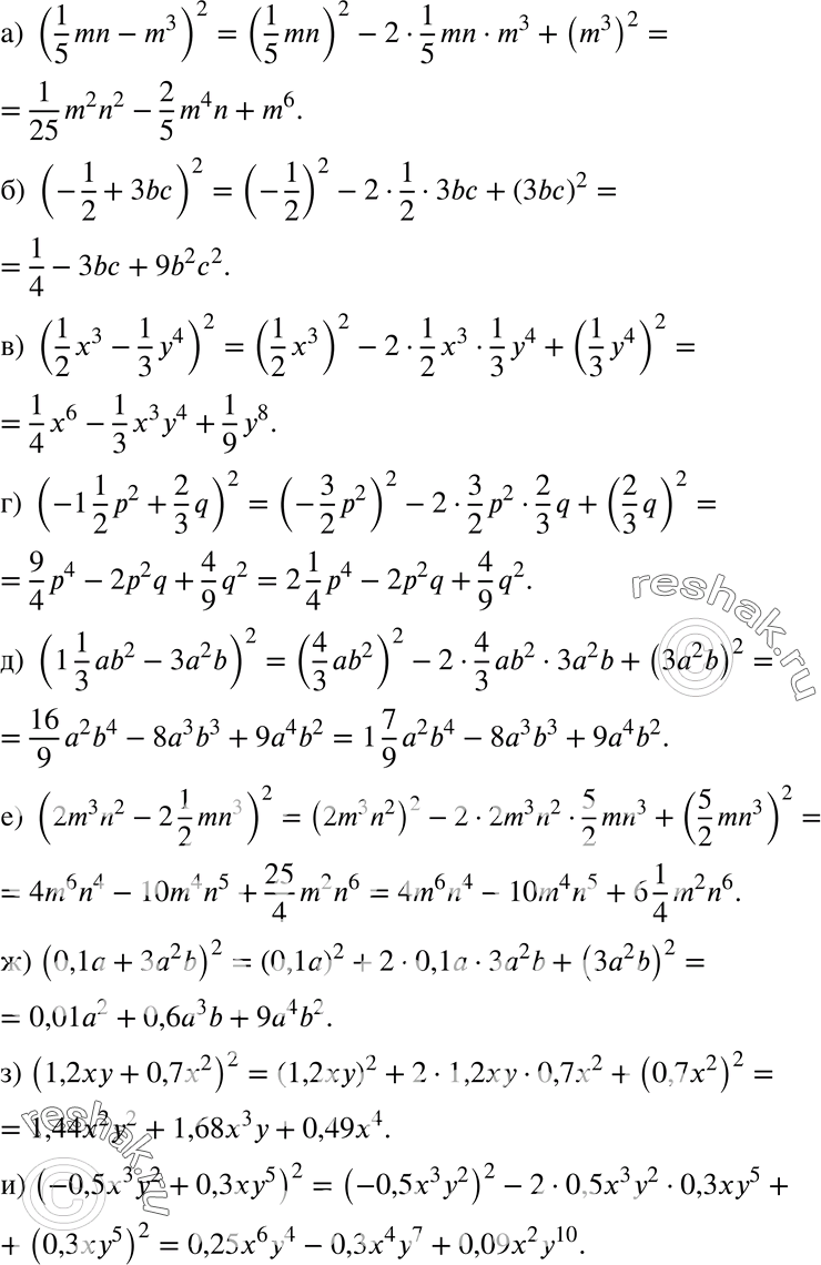
354 Преобразуйте выражение в многочлен:
а) (1/5*m-m3)2;
б) (-1/2+3bc)2;
в) (1/2*x3-1/3*y4)2;
г) (-1*1/2*p2+2/3*q)2;
д) (1*1/3*ab2-3a2b)2;
е) (2m3n2-1*1/2*mn3)2;
ж) (0,1а + 3а2b)2;
з) (2m3n2-2*1/2*mn3)2;
и) (-0,5х3у2 + 0,3ху5)2.
*размещая тексты в комментариях ниже, вы автоматически соглашаетесь с пользовательским соглашением