Упр.35.1 ГДЗ Мордкович Семенов 8 класс (Алгебра)
Решение #1

Рассмотрим вариант решения задания из учебника Мордкович, Семенов, Александрова 8 класс, Бином:
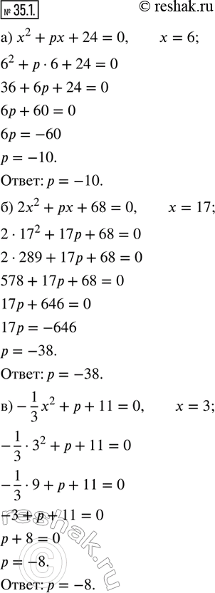
35.1. Выясните, при каких значениях параметра р заданное уравнение имеет указанный корень:
а) х^2 + рх + 24 = 0, х = 6;
б) 2x^2 + рх + 68 = 0, х = 17;
в) -1/3 х^2 + р + 11 = 0, x = 3;
г) х^2 + рх - 35 = 0, х = 7;
д) 3х^2 + рх - 54 = 0, х = 9;
е) -3/7 х^2 + р - 1 = 0, х = 7.
*размещая тексты в комментариях ниже, вы автоматически соглашаетесь с пользовательским соглашением