Упр.348 ГДЗ Никольский Потапов 7 класс (Алгебра)
Решение #1

Рассмотрим вариант решения задания из учебника Никольский, Потапов 7 класс, Просвещение:
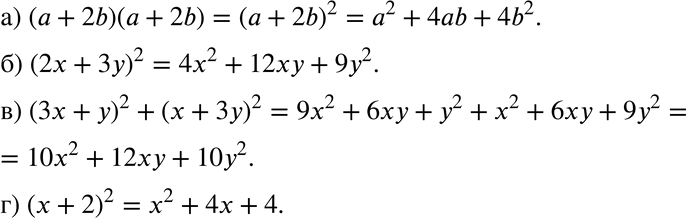
348 Запишите в виде многочлена выражение:
а) (а + 2b) (а + 2b);
б) (2x + Зу)2;
в) (Зx + у)2 + (x + 3у)2;
г) (x + 2)2.
*размещая тексты в комментариях ниже, вы автоматически соглашаетесь с пользовательским соглашением