Упр.343 ГДЗ Колягин Ткачёва 8 класс (Алгебра)
Решение #1

Рассмотрим вариант решения задания из учебника Колягин, Ткачёва, Фёдорова 8 класс, Просвещение:
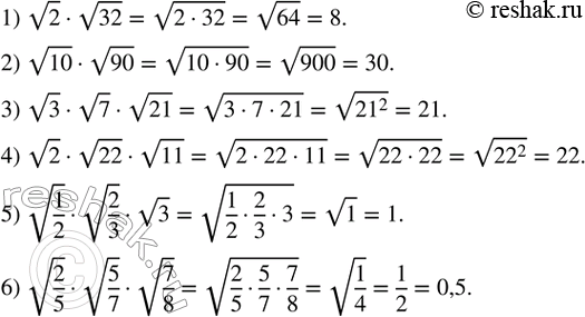
343. Вычислить:
1) v2•v32;
2) v10•v90;
3) v3•v7•v21;
4) v2•v22•v11;
5) v(1/2)•v(2/3)•v3;
6) v(2/5)•v(5/7)•v(7/8).
*размещая тексты в комментариях ниже, вы автоматически соглашаетесь с пользовательским соглашением