Упр.341 ГДЗ Дорофеев Суворова 8 класс (Алгебра)
Решение #1

Рассмотрим вариант решения задания из учебника Дорофеев, Суворова, Бунимович 8 класс, Просвещение:
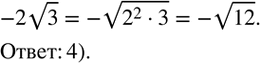
341. Какое из следующих выражений равно -2v3?
1) v6
2) -v6
3) v12
4) -v12.
*размещая тексты в комментариях ниже, вы автоматически соглашаетесь с пользовательским соглашением