Упр.34.11 ГДЗ Мордкович Семенов 8 класс (Алгебра)
Решение #1

Рассмотрим вариант решения задания из учебника Мордкович, Семенов, Александрова 8 класс, Бином:
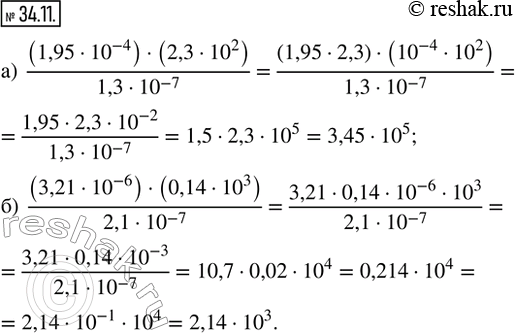
34.11. Выполните действия и запишите ответ в стандартном виде:
а) ((1,95 · 10^(-4)) · (2,3 · 10^2))/(1,3 · 10^(-7));
б) ((3,21 · 10^(-6)) · (0,14 · 10^3))/(2,1 · 10^(-7)).
*размещая тексты в комментариях ниже, вы автоматически соглашаетесь с пользовательским соглашением