Упр.331 ГДЗ Макарычев Миндюк 9 класс (Углубленный) (Алгебра)
Решение #1

Рассмотрим вариант решения задания из учебника Макарычев, Миндюк, Нешков 9 класс, Просвещение:
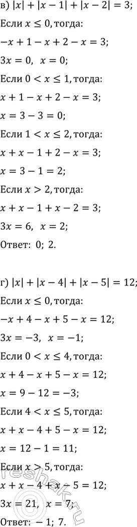
331. Решите уравнение:
а) |y-4|+|y-6|=8; в) |x|+|x-1|+|x-2|=3;
б) |y+3|-|y-2|=5; г) |x|+|x-4|+|x-5|=12.
*размещая тексты в комментариях ниже, вы автоматически соглашаетесь с пользовательским соглашением