Упр.329 ГДЗ Колягин Ткачёва 8 класс (Алгебра)
Решение #1

Рассмотрим вариант решения задания из учебника Колягин, Ткачёва, Фёдорова 8 класс, Просвещение:
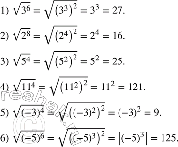
329. Вычислить: 1) v(3^6 ); 2) v(2^8 ); 3) v(5^4 ); 4) v(?11?^4 ); 5) v((-3)^4 ); 6) v((-5)^6 ).
*размещая тексты в комментариях ниже, вы автоматически соглашаетесь с пользовательским соглашением