Упр.32.7 ГДЗ Мерзляк 10 класс Базовый уровень (Алгебра)
Решение #1

Рассмотрим вариант решения задания из учебника Мерзляк, Номировский, Полонский 10 класс, Вентана-Граф:
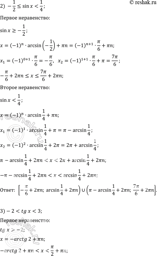
32.7. Решите неравенство:
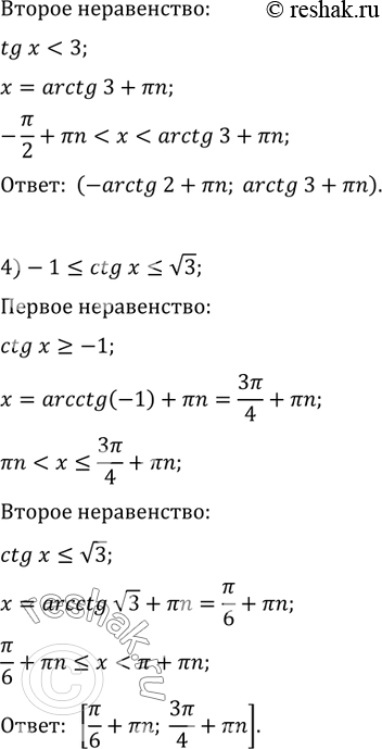
1) -v3/2?cos(x)<1/2; 3) -2
2) -1/2?sin(x)<1/4; 4) -1?ctg(x)?v3.
*размещая тексты в комментариях ниже, вы автоматически соглашаетесь с пользовательским соглашением