Упр.317 ГДЗ Макарычев Миндюк 9 класс (Углубленный) (Алгебра)
Решение #1

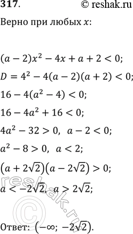
Рассмотрим вариант решения задания из учебника Макарычев, Миндюк, Нешков 9 класс, Просвещение:
317. При каких значениях a неравенство (a-2)x^2-4x+a+2<0 верно при любом х?
*размещая тексты в комментариях ниже, вы автоматически соглашаетесь с пользовательским соглашением