Упр.316 ГДЗ Колягин Ткачёва 10 класс (Алгебра)
Решение #1
Решение #2

Рассмотрим вариант решения задания из учебника Колягин, Ткачёва, Фёдорова 10 класс, Просвещение:
316. Решить уравнение, если известен один его корень:
1) х4 + х5 - 7х2 - х + 6 = 0, х1 = 2;
2) 2х4 + 12х3 + 11х2 + бx2 + 5 = 0, х1= -1;
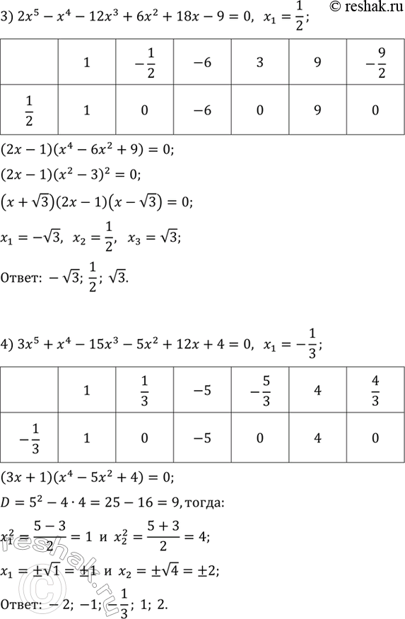
3) 2х5 - х4 - 12х3 + бх2 + 18x: - 9 = 0, х1 = 1/2;
4) 3х5 + х4 - 15х3 - 5x2 + 12x + 4 = 0, х1 = -1/3.
*размещая тексты в комментариях ниже, вы автоматически соглашаетесь с пользовательским соглашением