Упр.31.9 ГДЗ Мерзляк 10 класс Базовый уровень (Алгебра)
Решение #1

Рассмотрим вариант решения задания из учебника Мерзляк, Номировский, Полонский 10 класс, Вентана-Граф:
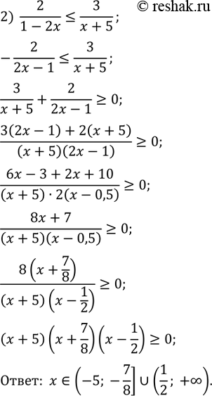
31.9. Решите неравенство:
1) 3/(x+2)?5/(2-x); 2) 2/(1-2x)?3/(x+5).
*размещая тексты в комментариях ниже, вы автоматически соглашаетесь с пользовательским соглашением