Упр.3.20 ГДЗ Мордкович Семенов 7 класс (Алгебра)
Решение #1

Рассмотрим вариант решения задания из учебника Мордкович, Семенов, Александрова 7 класс, Бином:
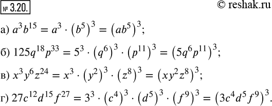
3.20. Запишите в виде степени с показателем 3:
а) а^3 b^15; б) 125q^18 р^33; в) х^3 у^6 z^24; г) 27c^12 d^15 f^27.
*размещая тексты в комментариях ниже, вы автоматически соглашаетесь с пользовательским соглашением