Упр.3.14 ГДЗ Мерзляк 11 класс Углубленный уровень (Алгебра)
Решение #1

Рассмотрим вариант решения задания из учебника Мерзляк, Номировский, Поляков 11 класс, Вентана-Граф, Просвещение:
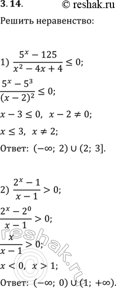
3.14. Решите неравенство:
1) (5^x-125)/(x^2-4x+4)<0; 2) (2^x-1)/(x-1)>0.
*размещая тексты в комментариях ниже, вы автоматически соглашаетесь с пользовательским соглашением