Упр.298 ГДЗ Колягин Ткачёва 8 класс (Алгебра)
Решение #1

Рассмотрим вариант решения задания из учебника Колягин, Ткачёва, Фёдорова 8 класс, Просвещение:
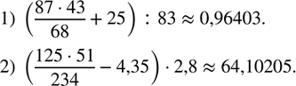
298. Записать показания МК после выполнения действий:
1) ((87•43)/68+25) :83;
2) ((125•51)/234-4,35)•2,8.
*размещая тексты в комментариях ниже, вы автоматически соглашаетесь с пользовательским соглашением