Упр.293 ГДЗ Колягин Ткачёва 10 класс (Алгебра)
Решение #1
Решение #2

Рассмотрим вариант решения задания из учебника Колягин, Ткачёва, Фёдорова 10 класс, Просвещение:
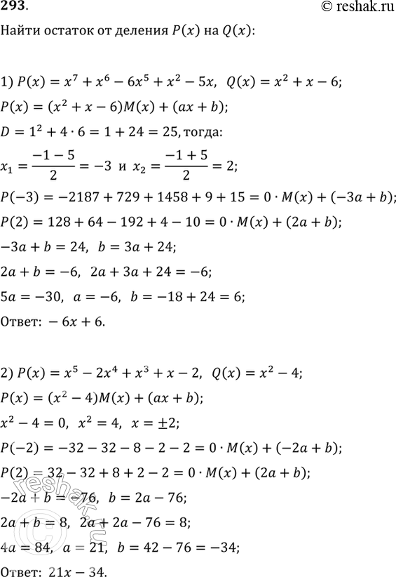
293 Не выполняя деления многочленов, найти остаток от деления многочлена Р(х) на многочлен Q(x):
1) Р(х) = х7 + х6 - 6x5 + x2 - 5x, Q(x) = х2 + х - 6;
2) Р(х) = х5 - 2х4 + х3 + х - 2, Q(x) = х2 - 4.
*размещая тексты в комментариях ниже, вы автоматически соглашаетесь с пользовательским соглашением