Упр.29.4 ГДЗ Мерзляк 10 класс Базовый уровень (Алгебра)
Решение #1

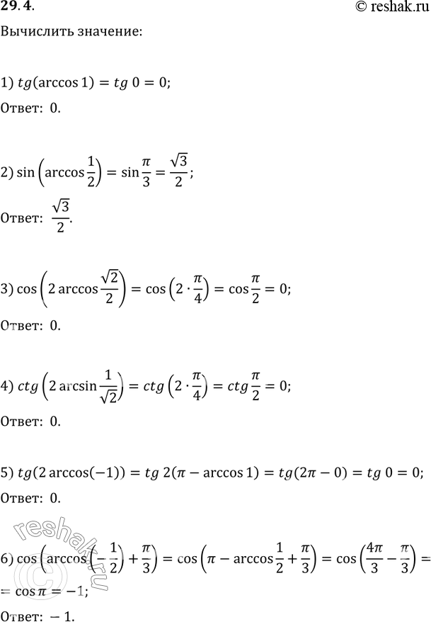
Рассмотрим вариант решения задания из учебника Мерзляк, Номировский, Полонский 10 класс, Вентана-Граф:
29.4. Вычислите:
1) tg(arccos(1)); 4) ctg(2arcsin(1/v2));
2) sin(arccos(1/2)); 5) tg(2arccos(-1));
3) cos(2arccos(v2/2)); 6) cos(arccos(-1/2)+?/3).
*размещая тексты в комментариях ниже, вы автоматически соглашаетесь с пользовательским соглашением