Упр.29.2 ГДЗ Мерзляк 10 класс Базовый уровень (Алгебра)
Решение #1

Рассмотрим вариант решения задания из учебника Мерзляк, Номировский, Полонский 10 класс, Вентана-Граф:
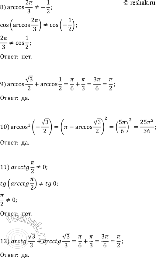
29.2. Верно ли равенство:
1) arcsin(?)=0; 7) arccos(1)=2?;
2) arcsin(?/6)=1/2; 8) arccos(2?/3)=-1/2;
3) arcsin(1)+arcsin(-v3/2)=?/6; 9) arccos(v3/2)+arccos(1/2)=?/2;
4) arcsin(1/2)+arcsin(v3/2)=?/2; 10) arccos^2(-v3/2)=(25?^2)/36;
5) arcsin(1)·arcsin(1/2)=(?^2)/12; 11) arcctg(?/2)=0;
6) arccos(0)=-?/2; 12) arctg(v3/3)+arcctg(v3/3)=?/2?
*размещая тексты в комментариях ниже, вы автоматически соглашаетесь с пользовательским соглашением