Упр.270 ГДЗ Колягин Ткачёва 11 класс (Алгебра)
Решение #1
Решение #2

Рассмотрим вариант решения задания из учебника Колягин, Ткачёва, Фёдорова 11 класс, Просвещение:
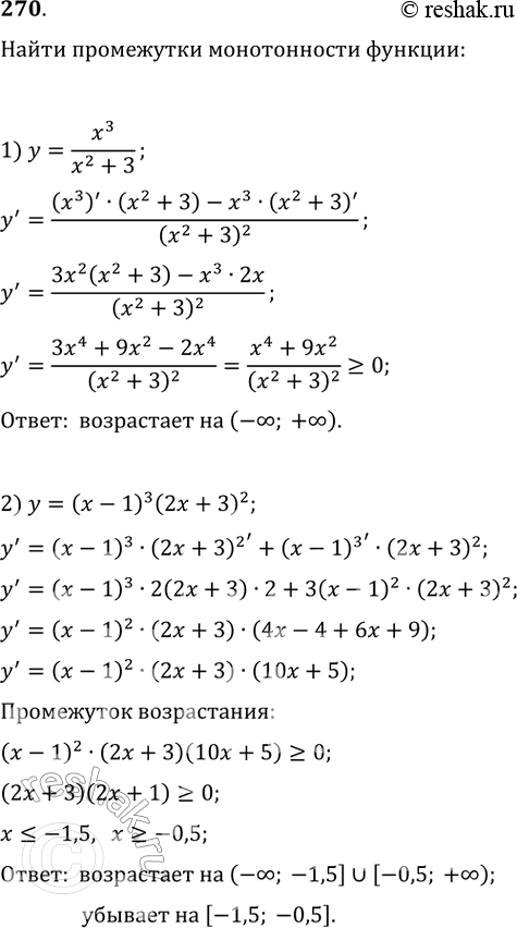
270. 1) y = x3/x2+3;
2) у = (х- 1)3(2x + 3)2;
3) у = (х - 1)е3х;
4) у = хе-3х.
*размещая тексты в комментариях ниже, вы автоматически соглашаетесь с пользовательским соглашением