Упр.27.6 ГДЗ Мерзляк 10 класс Базовый уровень (Алгебра)
Решение #1

Рассмотрим вариант решения задания из учебника Мерзляк, Номировский, Полонский 10 класс, Вентана-Граф:
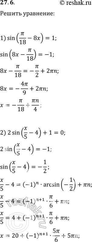
27.6. Решите уравнение:
1) sin(?/18-8x)=1; 2) 2sin(x/5-4)+1=0.
*размещая тексты в комментариях ниже, вы автоматически соглашаетесь с пользовательским соглашением