Упр.27.5 ГДЗ Мерзляк 10 класс Базовый уровень (Алгебра)
Решение #1

Рассмотрим вариант решения задания из учебника Мерзляк, Номировский, Полонский 10 класс, Вентана-Граф:
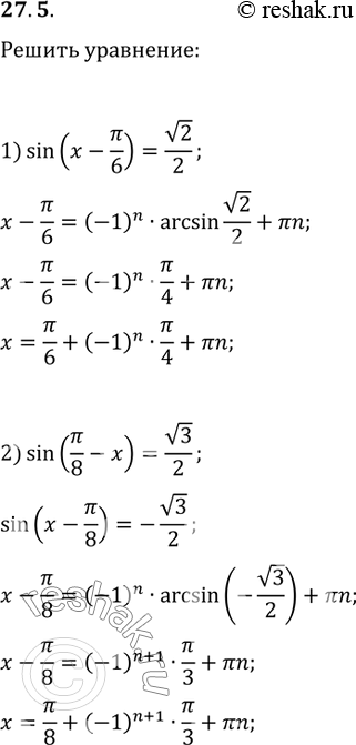
27.5. Решите уравнение:
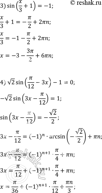
1) sin(x-?/6)=v2/2; 3) sin(x/3+1)=-1;
2) sin(?/8-x)=v3/2; 4) v2sin(?/12-3x)-1=0.
*размещая тексты в комментариях ниже, вы автоматически соглашаетесь с пользовательским соглашением