Упр.27.20 ГДЗ Мерзляк 11 класс Углубленный уровень (Алгебра)
Решение #1

Рассмотрим вариант решения задания из учебника Мерзляк, Номировский, Поляков 11 класс, Вентана-Граф, Просвещение:
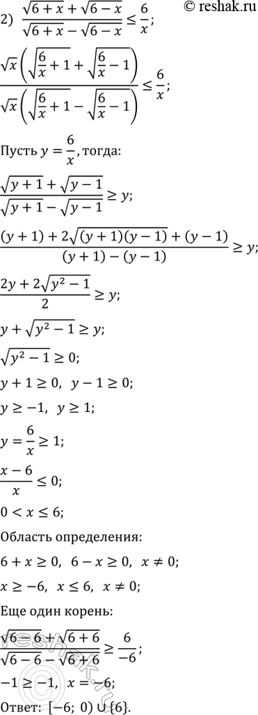
27.20. Решите неравенство:
1) (10-x)^(1/3)+v(x-1)>3; 2) (v(6+x)+v(6-x))/(v(6+x)-v(6-x))<6/x.
*размещая тексты в комментариях ниже, вы автоматически соглашаетесь с пользовательским соглашением