Упр.26.2 ГДЗ Мерзляк 11 класс Углубленный уровень (Алгебра)
Решение #1

Рассмотрим вариант решения задания из учебника Мерзляк, Номировский, Поляков 11 класс, Вентана-Граф, Просвещение:
26.2. Решите уравнение:
1) |x^2-2x-5|=|x-1|; 2) 2v(x+5)=x+2;
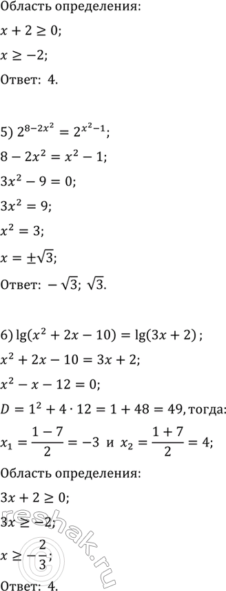
2) |x^2+6x-16|=8-4x; 5) 2^(8-2x^2)=2^(x^2-1);
3) v(2x^2-3x+1)=v(x^2+2x-3); 6) lg (x^2+2x-10)=lg (3x+2).
*размещая тексты в комментариях ниже, вы автоматически соглашаетесь с пользовательским соглашением