Упр.243 ГДЗ Колягин Ткачёва 11 класс (Алгебра)
Решение #1
Решение #2

Рассмотрим вариант решения задания из учебника Колягин, Ткачёва, Фёдорова 11 класс, Просвещение:
243. Найти значение производной функции f(х) в точке х0, если:
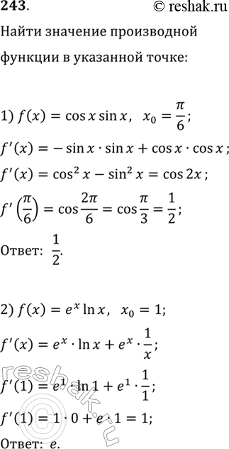
1) f(x) = cosxsinx, x0=пи/6;
2) f(x) = exlnx, x0=1;
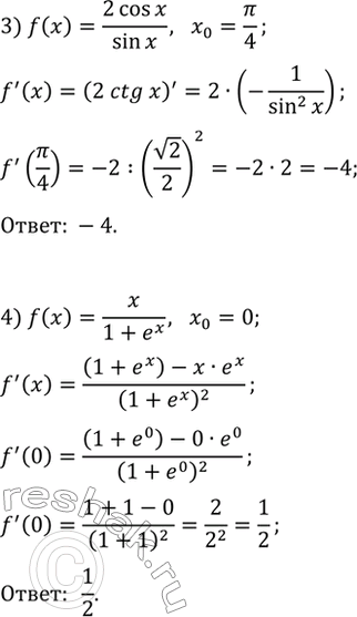
3) f(x) = 2cosx/sinx, x0=пи/4;
4) f(x) = x/1+ex, x0=0.
*размещая тексты в комментариях ниже, вы автоматически соглашаетесь с пользовательским соглашением