Упр.24.14 ГДЗ Мерзляк 10 класс Базовый уровень (Алгебра)
Решение #1

Рассмотрим вариант решения задания из учебника Мерзляк, Номировский, Полонский 10 класс, Вентана-Граф:
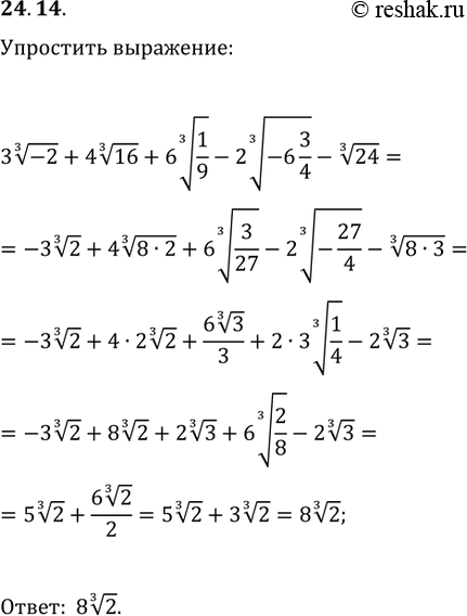
24.14. Упростите выражение
3(-2)^(1/3)+4(16)^(1/3)+6(1/9)^(1/3)-2(-6 3/4)^(1/3)-24^(1/3).
*размещая тексты в комментариях ниже, вы автоматически соглашаетесь с пользовательским соглашением