Упр.23.22 ГДЗ Мерзляк 10 класс Базовый уровень (Алгебра)
Решение #1

Рассмотрим вариант решения задания из учебника Мерзляк, Номировский, Полонский 10 класс, Вентана-Граф:
23.22. Упростите выражение:
1) sin(3a)/sin(a)-cos(3a)/cos(a); 5) (4tg(a)(1-tg^2(a)))/(1+tg^2(a))^2;
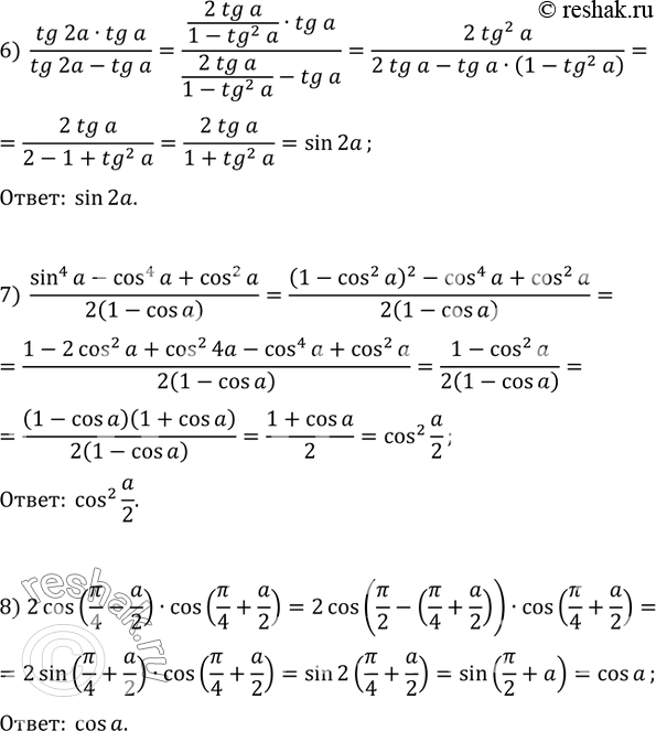
2) 1/(ctg(a/2)-tg(?/2)); 6) (tg(a)tg(a))/(tg(2a)-tg(a));
3) (tg(a)+ctg(a))sin(2a); 7) (sin^4(a)-cos^4(a)+cos^2(a))/(2(1-cos(a)));
4) 1/(1-tg(a))-1/(1+tg(a)); 8) 2cos(?/4-a/2)cos(?/4+a/2).
*размещая тексты в комментариях ниже, вы автоматически соглашаетесь с пользовательским соглашением