Упр.23.10 ГДЗ Мерзляк 10 класс Базовый уровень (Алгебра)
Решение #1

Рассмотрим вариант решения задания из учебника Мерзляк, Номировский, Полонский 10 класс, Вентана-Граф:
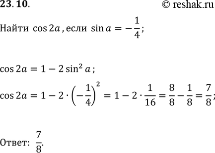
23.10. Найдите cos(2a), если sin(a)=-1/4.
*размещая тексты в комментариях ниже, вы автоматически соглашаетесь с пользовательским соглашением