Упр.23.1 ГДЗ Мерзляк 11 класс Углубленный уровень (Алгебра)
Решение #1

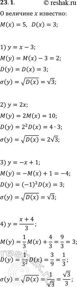
Рассмотрим вариант решения задания из учебника Мерзляк, Номировский, Поляков 11 класс, Вентана-Граф, Просвещение:
23.1. О случайной величине х известно, что М(х)=5, D(x)=3. Найдите математическое ожидание и стандартное отклонение случайной величины y, равной:
1) x-3; 2) 2x; 3) -x+1; 4) (x+4)/3.
*размещая тексты в комментариях ниже, вы автоматически соглашаетесь с пользовательским соглашением