Упр.225 ГДЗ Колягин Ткачёва 9 класс (Алгебра)
Решение #1

Рассмотрим вариант решения задания из учебника Колягин, Ткачёва, Фёдорова 9 класс, Просвещение:
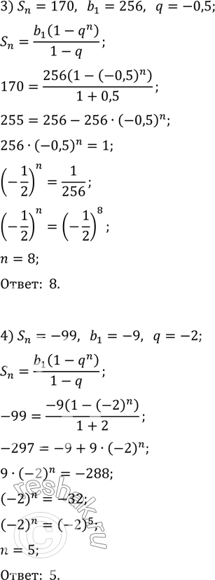
225. В геометрической прогрессии найти число n членов, если:
1) S_n=189, b_1=3, q=2; 2) S_n=635, b_1=5, q=2;
3) S_n=170, b_1=256, q=-0,5; 4) S_n=-99, b_1=-9, q=-2.
*размещая тексты в комментариях ниже, вы автоматически соглашаетесь с пользовательским соглашением