Упр.224 ГДЗ Колягин Ткачёва 11 класс (Алгебра)
Решение #1
Решение #2

Рассмотрим вариант решения задания из учебника Колягин, Ткачёва, Фёдорова 11 класс, Просвещение:
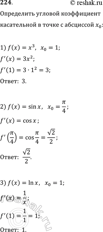
224. Найти угловой коэффициент касательной к графику функции у = f(х) в точке с абсциссой х0, если:
1) f(х) = х3, х0=1;
2) f(x) = sinx, х0 = пи/4;
3) f(x) = lnx, x0=1;
4) f(x) = ex, x0=ln3;
5) f(x) = 3x2-4x, x0=2;
6) f(x) = корень x - 1/корень x, x0=1.
*размещая тексты в комментариях ниже, вы автоматически соглашаетесь с пользовательским соглашением