Упр.220 ГДЗ Никольский Потапов 7 класс (Алгебра)
Решение #1

Рассмотрим вариант решения задания из учебника Никольский, Потапов 7 класс, Просвещение:
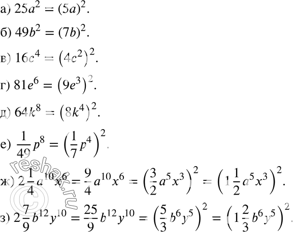
220. Представьте данный одночлен в виде квадрата другого одночлена:
а) 25a2;
б) 49b2;
в) 16c4;
г) 81e6;
д) 64k8;
е) 1/49*p8;
ж) 2*1/4*a10x6;
з) 2*7/9*b12y10.
*размещая тексты в комментариях ниже, вы автоматически соглашаетесь с пользовательским соглашением