Упр.22.7 ГДЗ Мерзляк 10 класс Базовый уровень (Алгебра)
Решение #1

Рассмотрим вариант решения задания из учебника Мерзляк, Номировский, Полонский 10 класс, Вентана-Граф:
22.7. Вычислите:
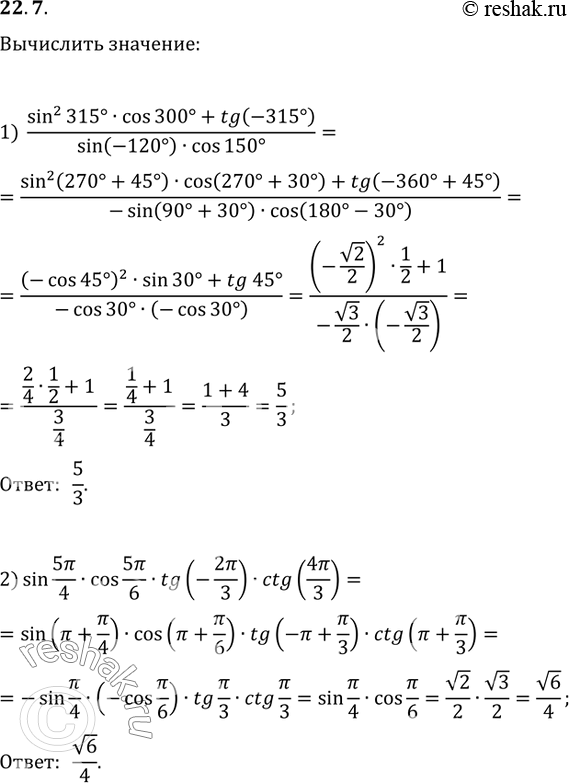
1) (sin^2(315°)cos(300°)+tg(-315°))/(sin(-120°)cos(150°));
2) sin(5?/4)cos(5?/6)tg(-2?/3)ctg(4?/3);
3) (sin(20°)cos(10°)+cos(160°)cos(100°))/(sin(21°)cos(9°)+cos(159°)cos(99°));
4) (cos(66°)cos(5°)+cos(84°)cos(24°))/(cos(65°)cos(5°)+cos(85°)cos(25°)).
*размещая тексты в комментариях ниже, вы автоматически соглашаетесь с пользовательским соглашением