Упр.22.2 ГДЗ Мерзляк 10 класс Базовый уровень (Алгебра)
Решение #1

Рассмотрим вариант решения задания из учебника Мерзляк, Номировский, Полонский 10 класс, Вентана-Граф:
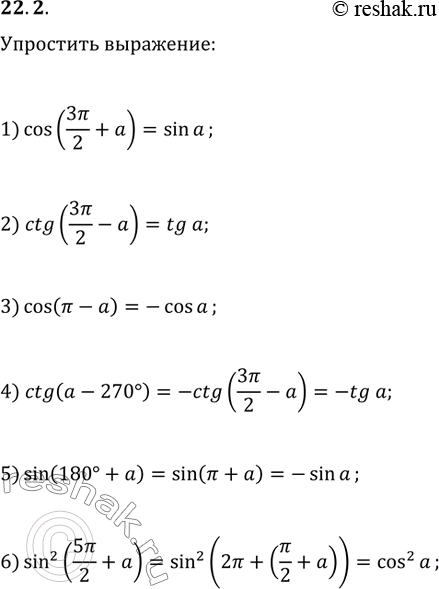
22.2. Упростите выражение:
1) cos(3?/2+a); 3) cos(?-a); 5) sin(180°+a);
2) ctg(3?/2-a); 4) ctg(a-270°); 6) sin^2(5?/2+a).
*размещая тексты в комментариях ниже, вы автоматически соглашаетесь с пользовательским соглашением