Упр.22.17 ГДЗ Мордкович Семенов 8 класс (Алгебра)
Решение #1

Рассмотрим вариант решения задания из учебника Мордкович, Семенов, Александрова 8 класс, Бином:
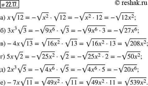
22.17. Внесите множитель под знак квадратного корня, если известно, что х < 0:
а) xv12; в) -4xv13; д) 2x^3 v5;
б) 3x^3 v3; г) 5xv2; е) -7xv11.
*размещая тексты в комментариях ниже, вы автоматически соглашаетесь с пользовательским соглашением