Упр.217 ГДЗ Никольский Потапов 7 класс (Алгебра)
Решение #1
Решение #2

Рассмотрим вариант решения задания из учебника Никольский, Потапов 7 класс, Просвещение:
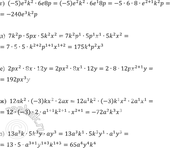
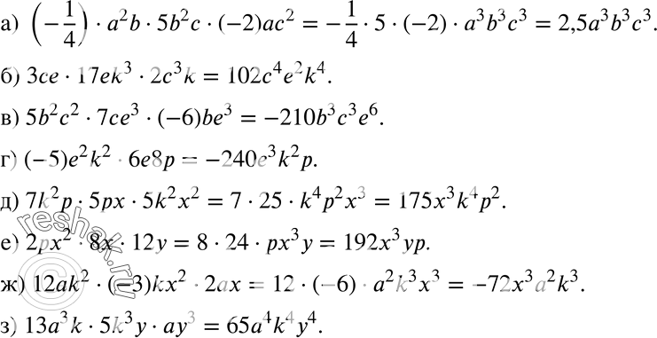
217. a) (-1/4) * а2b * 5b2с * (-2)ас2;
б) 3се * 17ek3 * 2c3k;
в) 5b2с2 * 7се3 * (-6) be3;
г) (-5)e2k2 * 6е8р;
д) 7k2p * 5рх * 5k2x2;
е) 2рх2 * 8х * 12у;
ж) 12ak2 * (-3)kx2 * 2ах;
з) 13a3k * 5k3y * ay3.
*размещая тексты в комментариях ниже, вы автоматически соглашаетесь с пользовательским соглашением