Упр.214 ГДЗ Никольский Потапов 7 класс (Алгебра)
Решение #1
Решение #2

Рассмотрим вариант решения задания из учебника Никольский, Потапов 7 класс, Просвещение:
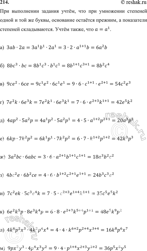
Найдите одночлен, равный произведению одночленов (214—217):
214 а) 3ab*2a;
б) 8bc3*bc;
в) 9ce2*6c2;
г) 7e2k*6e3k;
д) 4ap2*5a2p;
е) 6kp*7k2p2;
ж) 3a2bc*6abc;
з) 4bc2e*6b2ce;
и) 7c2ek*5c3e4k;
к) 6e2k5p*8e3k4p;
л) 4k6p2x3*4k2p4x4;
м) 9px2y3*4p4x3y2.
*размещая тексты в комментариях ниже, вы автоматически соглашаетесь с пользовательским соглашением