Упр.214 ГДЗ Колягин Ткачёва 11 класс (Алгебра)
Решение #1
Решение #2

Рассмотрим вариант решения задания из учебника Колягин, Ткачёва, Фёдорова 11 класс, Просвещение:
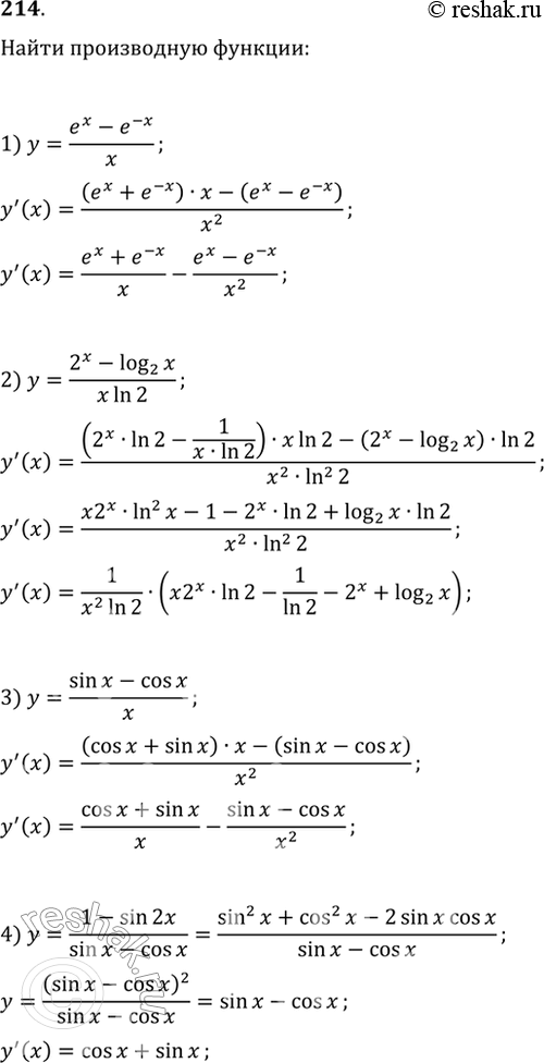
214. 1) ex-e^-x/x;
2) 2x - log2x/xln2;
3) sinx - cosx/x;
4) 1-sin2x/sinx - cosx.
*размещая тексты в комментариях ниже, вы автоматически соглашаетесь с пользовательским соглашением