Упр.212 ГДЗ Колягин Ткачёва 8 класс (Алгебра)
Решение #1

Рассмотрим вариант решения задания из учебника Колягин, Ткачёва, Фёдорова 8 класс, Просвещение:
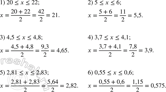
212. Указать приближенное значение числа x, равное среднему арифметическому приближений с недостатком и с избытком:
1) 20?x?22;
2) 5?x?6;
3) 4,5?x?4,8;
4) 3,7?x?4,1;
5) 2,81?x?2,83;
6) 0,55?x?0,6.
*размещая тексты в комментариях ниже, вы автоматически соглашаетесь с пользовательским соглашением