Упр.21.2 ГДЗ Мордкович Семенов 8 класс (Алгебра)
Решение #1

Рассмотрим вариант решения задания из учебника Мордкович, Семенов, Александрова 8 класс, Бином:
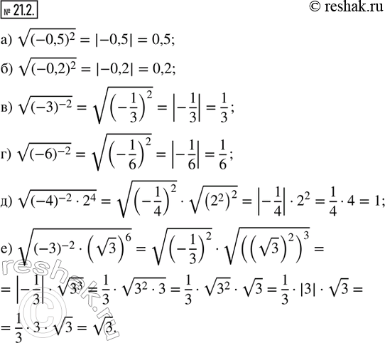
21.2. Найдите значение выражения:
а) v(-0,5)^2; г) v((-6)^(-2));
б) v(-0,2)^2; д) v((-4)^(-2) · 2^4);
в) v((-3)^(-2)); е) v((-3)^(-2) · (v3)^6).
*размещая тексты в комментариях ниже, вы автоматически соглашаетесь с пользовательским соглашением