Упр.205 ГДЗ Дорофеев Суворова 8 класс (Алгебра)
Решение #1

Рассмотрим вариант решения задания из учебника Дорофеев, Суворова, Бунимович 8 класс, Просвещение:
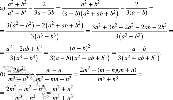
205. Упростите выражение:
а) (a^2+b^2)/(a^3-b^3 )-2/(3a-3b);
б) (2m^2)/(m^3+n^3 )-(m-n)/(m^2-mn+n^2 ).
*размещая тексты в комментариях ниже, вы автоматически соглашаетесь с пользовательским соглашением