Упр.20.5 ГДЗ Мордкович Семенов 8 класс (Алгебра)
Решение #1

Рассмотрим вариант решения задания из учебника Мордкович, Семенов, Александрова 8 класс, Бином:
20.5. Упростите выражение и найдите его значение:
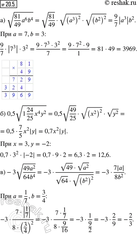
а) v(81/49 a^6 b^4) при a = 7, b = 3;
б) 0,5v(1 24/25 x^4 y^2) при x = 3, y = -2;
в) -3v(49a^2/64b^4) при a = 1/7, b = 3/4;
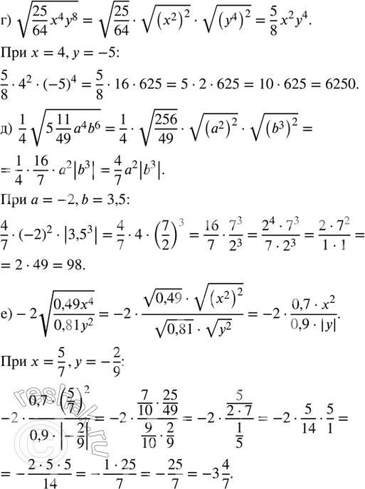
г) v(25/64 x^4 y^8) при x = 4, y = -5;
д) 1/4 v(5 11/49 a^4 b^6) при a = -2, b = 3,5;
е) -2v((0,49x^4)/(0,81y^2)) при x = 5/7, y = -2/9.
*размещая тексты в комментариях ниже, вы автоматически соглашаетесь с пользовательским соглашением