Упр.20.3 ГДЗ Мордкович Семенов 8 класс (Алгебра)
Решение #1

Рассмотрим вариант решения задания из учебника Мордкович, Семенов, Александрова 8 класс, Бином:
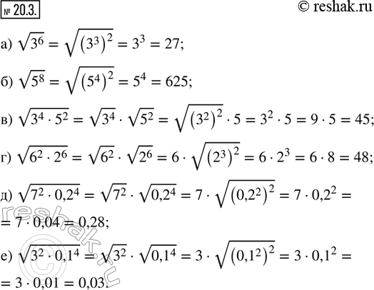
20.3. Вычислите:
а) v(3)^6; в) v(3^4 · 5^2); д) v(7^2 · 0,2^4);
б) v(5)^8; г) v(6^2 · 2^6); е) v(3^2 · 0,1^4).
*размещая тексты в комментариях ниже, вы автоматически соглашаетесь с пользовательским соглашением