Упр.19.2 ГДЗ Мерзляк 10 класс Базовый уровень (Алгебра)
Решение #1

Рассмотрим вариант решения задания из учебника Мерзляк, Номировский, Полонский 10 класс, Вентана-Граф:
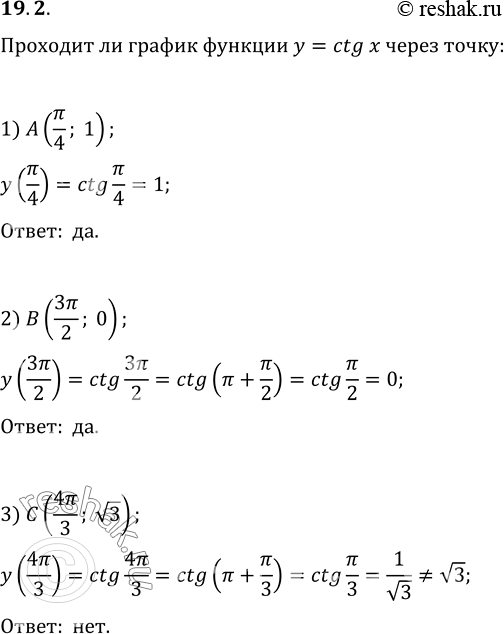
19.2. Проходит ли график функции y=ctg x через точку:
1) A(?/4; 1); 2) B(3?/2; 0); 3) C(4?/3; v3)?
*размещая тексты в комментариях ниже, вы автоматически соглашаетесь с пользовательским соглашением