Упр.18.25 ГДЗ Мерзляк 11 класс Углубленный уровень (Алгебра)
Решение #1

Рассмотрим вариант решения задания из учебника Мерзляк, Номировский, Поляков 11 класс, Вентана-Граф, Просвещение:
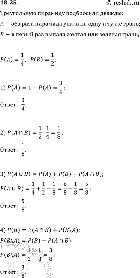
18.25. Правильную треугольную пирамиду, грани которой окрашены в жёлтый, зелёный, красный и синий цвета, подбросили дважды. Пусть событие А состоит в том, что оба раза пирамида упала на одну и ту же грань; событие В состоит в том, что в первый раз пирамида упала на жёлтую или зелёную грань. Найдите вероятность события:
1) A; 2) A n B; 3) A U B; 4) B\A.
*размещая тексты в комментариях ниже, вы автоматически соглашаетесь с пользовательским соглашением