Упр.17.8 ГДЗ Мерзляк 11 класс Углубленный уровень (Алгебра)
Решение #1

Рассмотрим вариант решения задания из учебника Мерзляк, Номировский, Поляков 11 класс, Вентана-Граф, Просвещение:
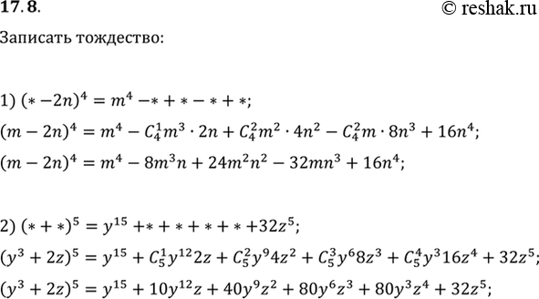
17.8. Замените звёздочки такими одночленами, чтобы образовалось тождество:
1) (*-2n)^4=m^4-*+*-*+*;
2) (*+*)^5=y^15+*+*+*+*+32z^5.
*размещая тексты в комментариях ниже, вы автоматически соглашаетесь с пользовательским соглашением